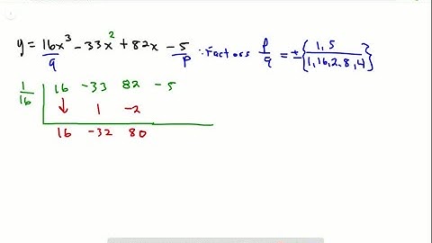
Zeros of Polynomial Functions - 2 Real 2 Imaginary

Tonton & Download Video Musik Gratis

⬇ DOWNLOAD NOW
Kalau muncul iklan pop-up, tutup lalu klik tombol kembali

Download lagu Zeros of Polynomial Functions - 2 Real 2 Imaginary secara gratis hanya untuk keperluan promosi. Dukung artis favorit kamu dengan membeli musik original di iTunes atau platform resmi lainnya.