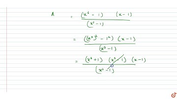
The GCD and LCM of two polynomials are x+1 and x^6-1 respectively if one of the polynomials is ...

Tonton & Download Video Musik Gratis

⬇ DOWNLOAD NOW
Kalau muncul iklan pop-up, tutup lalu klik tombol kembali

Download lagu The GCD and LCM of two polynomials are x+1 and x^6-1 respectively if one of the polynomials is ... secara gratis hanya untuk keperluan promosi. Dukung artis favorit kamu dengan membeli musik original di iTunes atau platform resmi lainnya.