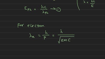
The de Broglie wavelengths for an electron and a photon are \(\lambda_e\) and \(\lambda_p\) resp....

Tonton & Download Video Musik Gratis

⬇ DOWNLOAD NOW
Kalau muncul iklan pop-up, tutup lalu klik tombol kembali

Download lagu The de Broglie wavelengths for an electron and a photon are \(\lambda_e\) and \(\lambda_p\) resp.... secara gratis hanya untuk keperluan promosi. Dukung artis favorit kamu dengan membeli musik original di iTunes atau platform resmi lainnya.