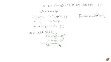
If `alpha and beta` are two positive acute angles satisfying `alpha-beta=15^@` and `sinalpha=c...

Tonton & Download Video Musik Gratis

⬇ DOWNLOAD NOW
Kalau muncul iklan pop-up, tutup lalu klik tombol kembali

Download lagu If `alpha and beta` are two positive acute angles satisfying `alpha-beta=15^@` and `sinalpha=c... secara gratis hanya untuk keperluan promosi. Dukung artis favorit kamu dengan membeli musik original di iTunes atau platform resmi lainnya.