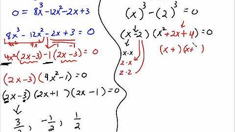
MAC 1105 sec 1.6 part 3 - solve quadratic form equations (p. 13 in packet)

Tonton & Download Video Musik Gratis

⬇ DOWNLOAD NOW
Kalau muncul iklan pop-up, tutup lalu klik tombol kembali

Download lagu MAC 1105 sec 1.6 part 3 - solve quadratic form equations (p. 13 in packet) secara gratis hanya untuk keperluan promosi. Dukung artis favorit kamu dengan membeli musik original di iTunes atau platform resmi lainnya.