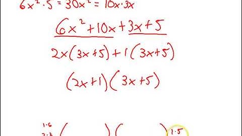
Ch 8 Lesson 6 : Factoring Trinomials with a Leading Coefficient Greater than One

Tonton & Download Video Musik Gratis

⬇ DOWNLOAD NOW
Kalau muncul iklan pop-up, tutup lalu klik tombol kembali

Download lagu Ch 8 Lesson 6 : Factoring Trinomials with a Leading Coefficient Greater than One secara gratis hanya untuk keperluan promosi. Dukung artis favorit kamu dengan membeli musik original di iTunes atau platform resmi lainnya.