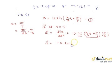
A particle executes simple harmonic motion with an amplitude of `10 cm` and time period `6 s`.

Tonton & Download Video Musik Gratis

⬇ DOWNLOAD NOW
Kalau muncul iklan pop-up, tutup lalu klik tombol kembali

Download lagu A particle executes simple harmonic motion with an amplitude of `10 cm` and time period `6 s`. secara gratis hanya untuk keperluan promosi. Dukung artis favorit kamu dengan membeli musik original di iTunes atau platform resmi lainnya.