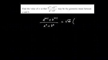
Find ' n ' such that a^n+b^n/a^n-1+b^n-1 may be the geometric mean between two quantities a and b.

Tonton & Download Video Musik Gratis

⬇ DOWNLOAD NOW
Kalau muncul iklan pop-up, tutup lalu klik tombol kembali

Download lagu Find ' n ' such that a^n+b^n/a^n-1+b^n-1 may be the geometric mean between two quantities a and b. secara gratis hanya untuk keperluan promosi. Dukung artis favorit kamu dengan membeli musik original di iTunes atau platform resmi lainnya.