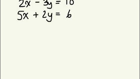
Lesson 1.6 - Solving Systems of Linear Equations By ELIMINATION

Tonton & Download Video Musik Gratis

⬇ DOWNLOAD NOW
Kalau muncul iklan pop-up, tutup lalu klik tombol kembali

Download lagu Lesson 1.6 - Solving Systems of Linear Equations By ELIMINATION secara gratis hanya untuk keperluan promosi. Dukung artis favorit kamu dengan membeli musik original di iTunes atau platform resmi lainnya.