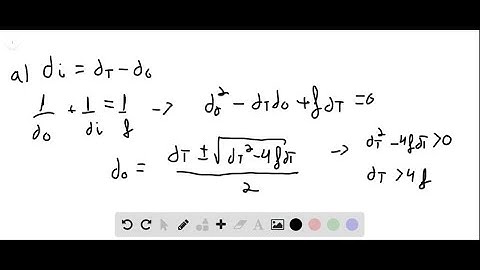
A bright object is placed on one side of a converging lens of focal length f, and a white screen for

Tonton & Download Video Musik Gratis

⬇ DOWNLOAD NOW
Kalau muncul iklan pop-up, tutup lalu klik tombol kembali

Download lagu A bright object is placed on one side of a converging lens of focal length f, and a white screen for secara gratis hanya untuk keperluan promosi. Dukung artis favorit kamu dengan membeli musik original di iTunes atau platform resmi lainnya.