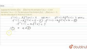
IIT JEE LIMITS AND DERIVATIVES Suppose the function `f(x)-f(2x)` has the derivative 5 at `x=1` ...

Tonton & Download Video Musik Gratis

⬇ DOWNLOAD NOW
Kalau muncul iklan pop-up, tutup lalu klik tombol kembali

Download lagu IIT JEE LIMITS AND DERIVATIVES Suppose the function `f(x)-f(2x)` has the derivative 5 at `x=1` ... secara gratis hanya untuk keperluan promosi. Dukung artis favorit kamu dengan membeli musik original di iTunes atau platform resmi lainnya.