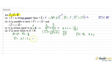
Let `veca, vecb, vecc` be three non zero vectors such that `veca+ vecb + vec c=0` then `lambda(...

Tonton & Download Video Musik Gratis

⬇ DOWNLOAD NOW
Kalau muncul iklan pop-up, tutup lalu klik tombol kembali

Download lagu Let `veca, vecb, vecc` be three non zero vectors such that `veca+ vecb + vec c=0` then `lambda(... secara gratis hanya untuk keperluan promosi. Dukung artis favorit kamu dengan membeli musik original di iTunes atau platform resmi lainnya.