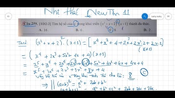
Trợ giúp giải bài tập nhị thức niu - tơn - Toán lớp 11

Tonton & Download Video Musik Gratis

⬇ DOWNLOAD NOW
Kalau muncul iklan pop-up, tutup lalu klik tombol kembali

Download lagu Trợ giúp giải bài tập nhị thức niu - tơn - Toán lớp 11 secara gratis hanya untuk keperluan promosi. Dukung artis favorit kamu dengan membeli musik original di iTunes atau platform resmi lainnya.