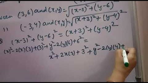
Find a relation x and y such that the point (x,y) is equidistant from the point (3,6) and (-3,4).

Tonton & Download Video Musik Gratis

⬇ DOWNLOAD NOW
Kalau muncul iklan pop-up, tutup lalu klik tombol kembali

Download lagu Find a relation x and y such that the point (x,y) is equidistant from the point (3,6) and (-3,4). secara gratis hanya untuk keperluan promosi. Dukung artis favorit kamu dengan membeli musik original di iTunes atau platform resmi lainnya.