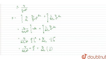
A charge q is uniformly distributed over the volume of a sphere of radius R. Assuming

Tonton & Download Video Musik Gratis

⬇ DOWNLOAD NOW
Kalau muncul iklan pop-up, tutup lalu klik tombol kembali

Download lagu A charge q is uniformly distributed over the volume of a sphere of radius R. Assuming secara gratis hanya untuk keperluan promosi. Dukung artis favorit kamu dengan membeli musik original di iTunes atau platform resmi lainnya.