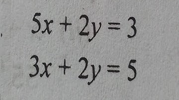
Solve system of linear equations, using matrix method, `5x + 2y = 3` `3x + 2y = 5`...

Tonton & Download Video Musik Gratis

⬇ DOWNLOAD NOW
Kalau muncul iklan pop-up, tutup lalu klik tombol kembali

Download lagu Solve system of linear equations, using matrix method, `5x + 2y = 3` `3x + 2y = 5`... secara gratis hanya untuk keperluan promosi. Dukung artis favorit kamu dengan membeli musik original di iTunes atau platform resmi lainnya.