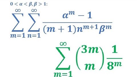
Let α = ∑ (4r² +2r +1) ⁿCᵣ & β = (∑ ⁿCᵣ/r+1) + 1/n+1. if 140 ≤ 2α/β ≤ 281 then the value of n is

Tonton & Download Video Musik Gratis

⬇ DOWNLOAD NOW
Kalau muncul iklan pop-up, tutup lalu klik tombol kembali

Download lagu Let α = ∑ (4r² +2r +1) ⁿCᵣ & β = (∑ ⁿCᵣ/r+1) + 1/n+1. if 140 ≤ 2α/β ≤ 281 then the value of n is secara gratis hanya untuk keperluan promosi. Dukung artis favorit kamu dengan membeli musik original di iTunes atau platform resmi lainnya.