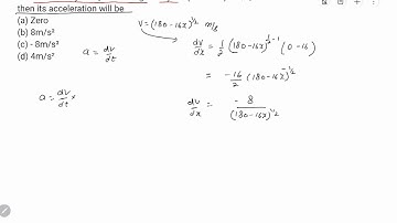
If the velocity of a particle is given by v=(180-16 x)^1 / 2 m / s, then its acceleration will be...

Tonton & Download Video Musik Gratis

⬇ DOWNLOAD NOW
Kalau muncul iklan pop-up, tutup lalu klik tombol kembali

Download lagu If the velocity of a particle is given by v=(180-16 x)^1 / 2 m / s, then its acceleration will be... secara gratis hanya untuk keperluan promosi. Dukung artis favorit kamu dengan membeli musik original di iTunes atau platform resmi lainnya.