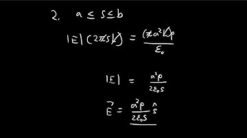
Problem 2.16 Solutions from GRIFFITH'S ELECTRODYNAMICS 4 th edition

Tonton & Download Video Musik Gratis

⬇ DOWNLOAD NOW
Kalau muncul iklan pop-up, tutup lalu klik tombol kembali

Download lagu Problem 2.16 Solutions from GRIFFITH'S ELECTRODYNAMICS 4 th edition secara gratis hanya untuk keperluan promosi. Dukung artis favorit kamu dengan membeli musik original di iTunes atau platform resmi lainnya.