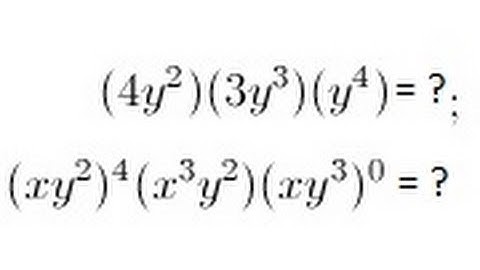
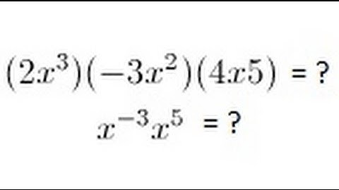
Algebra - Simplifying Algebraic Expressions with Exponents (2 of 7) Example 1

Tonton & Download Video Musik Gratis

⬇ DOWNLOAD NOW
Kalau muncul iklan pop-up, tutup lalu klik tombol kembali

Download lagu Algebra - Simplifying Algebraic Expressions with Exponents (2 of 7) Example 1 secara gratis hanya untuk keperluan promosi. Dukung artis favorit kamu dengan membeli musik original di iTunes atau platform resmi lainnya.