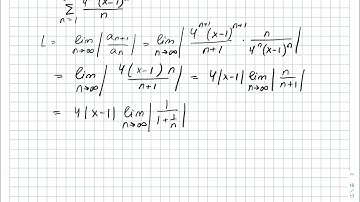
Find the interval of convergence of the power series.\sum_{n=1}^\infty\frac{(-1)^nx^ ... | Plainmath

Tonton & Download Video Musik Gratis

⬇ DOWNLOAD NOW
Kalau muncul iklan pop-up, tutup lalu klik tombol kembali

Download lagu Find the interval of convergence of the power series.\sum_{n=1}^\infty\frac{(-1)^nx^ ... | Plainmath secara gratis hanya untuk keperluan promosi. Dukung artis favorit kamu dengan membeli musik original di iTunes atau platform resmi lainnya.