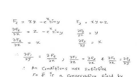
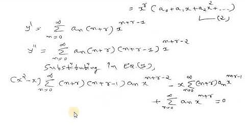
FOD L3 Exact diff eqn by Assistant Professor Dilip Udhani

Tonton & Download Video Musik Gratis

⬇ DOWNLOAD NOW
Kalau muncul iklan pop-up, tutup lalu klik tombol kembali

Download lagu FOD L3 Exact diff eqn by Assistant Professor Dilip Udhani secara gratis hanya untuk keperluan promosi. Dukung artis favorit kamu dengan membeli musik original di iTunes atau platform resmi lainnya.