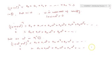
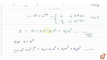
If `(1+x)^(2n)=sum_(r=0)^(2n) a_r x^r` then the value of `a_0^2-a_1^2+a_2^2-a_3^2+...+(a_(2n))

Tonton & Download Video Musik Gratis

⬇ DOWNLOAD NOW
Kalau muncul iklan pop-up, tutup lalu klik tombol kembali

Download lagu If `(1+x)^(2n)=sum_(r=0)^(2n) a_r x^r` then the value of `a_0^2-a_1^2+a_2^2-a_3^2+...+(a_(2n)) secara gratis hanya untuk keperluan promosi. Dukung artis favorit kamu dengan membeli musik original di iTunes atau platform resmi lainnya.