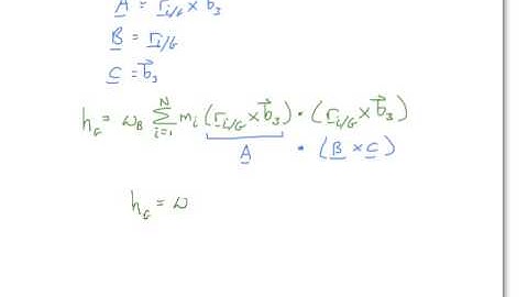
Screencast 8.2 - Moment of Inertia using Cartesian Coordinates

Tonton & Download Video Musik Gratis

⬇ DOWNLOAD NOW
Kalau muncul iklan pop-up, tutup lalu klik tombol kembali

Download lagu Screencast 8.2 - Moment of Inertia using Cartesian Coordinates secara gratis hanya untuk keperluan promosi. Dukung artis favorit kamu dengan membeli musik original di iTunes atau platform resmi lainnya.