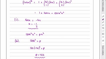
WMA12/01 IAL (Edexcel) P2 June/Oct 2020 Q1 Binomial Expansion

Tonton & Download Video Musik Gratis

⬇ DOWNLOAD NOW
Kalau muncul iklan pop-up, tutup lalu klik tombol kembali

Download lagu WMA12/01 IAL (Edexcel) P2 June/Oct 2020 Q1 Binomial Expansion secara gratis hanya untuk keperluan promosi. Dukung artis favorit kamu dengan membeli musik original di iTunes atau platform resmi lainnya.