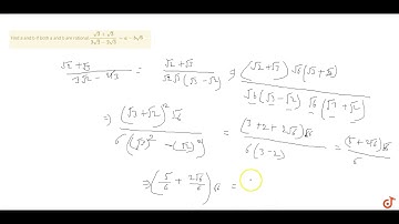
If both a and b are rational numbers, Find a and b.`(3+sqrt(7))/ (3-sqrt(7)) = a-bsqrt(7)`

Tonton & Download Video Musik Gratis

⬇ DOWNLOAD NOW
Kalau muncul iklan pop-up, tutup lalu klik tombol kembali

Download lagu If both a and b are rational numbers, Find a and b.`(3+sqrt(7))/ (3-sqrt(7)) = a-bsqrt(7)` secara gratis hanya untuk keperluan promosi. Dukung artis favorit kamu dengan membeli musik original di iTunes atau platform resmi lainnya.