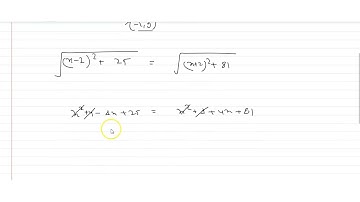
Coordinate Geometry || Find the point on x-axis which is equidistant from the point(2,5) and (-2, 9)

Tonton & Download Video Musik Gratis

⬇ DOWNLOAD NOW
Kalau muncul iklan pop-up, tutup lalu klik tombol kembali

Download lagu Coordinate Geometry || Find the point on x-axis which is equidistant from the point(2,5) and (-2, 9) secara gratis hanya untuk keperluan promosi. Dukung artis favorit kamu dengan membeli musik original di iTunes atau platform resmi lainnya.