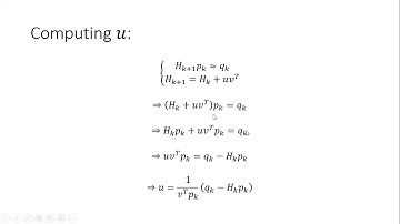
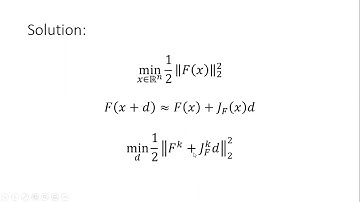
Introduction to Optimization 236330 - final assignment – part3 – question10 - Sharon Hadar

Tonton & Download Video Musik Gratis

⬇ DOWNLOAD NOW
Kalau muncul iklan pop-up, tutup lalu klik tombol kembali

Download lagu Introduction to Optimization 236330 - final assignment – part3 – question10 - Sharon Hadar secara gratis hanya untuk keperluan promosi. Dukung artis favorit kamu dengan membeli musik original di iTunes atau platform resmi lainnya.