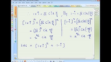
If n be a positive integer, prove that (1+i)^n + (1-i)^n = 2^(n+2)/2 cos ηπ/4

Tonton & Download Video Musik Gratis

⬇ DOWNLOAD NOW
Kalau muncul iklan pop-up, tutup lalu klik tombol kembali

Download lagu If n be a positive integer, prove that (1+i)^n + (1-i)^n = 2^(n+2)/2 cos ηπ/4 secara gratis hanya untuk keperluan promosi. Dukung artis favorit kamu dengan membeli musik original di iTunes atau platform resmi lainnya.