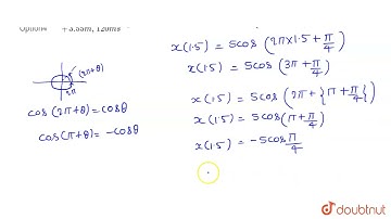
A particle executing SHM according to the equation x=5cos(2pit+(pi)/(4)) in SI units. The displa...

Tonton & Download Video Musik Gratis

⬇ DOWNLOAD NOW
Kalau muncul iklan pop-up, tutup lalu klik tombol kembali

Download lagu A particle executing SHM according to the equation x=5cos(2pit+(pi)/(4)) in SI units. The displa... secara gratis hanya untuk keperluan promosi. Dukung artis favorit kamu dengan membeli musik original di iTunes atau platform resmi lainnya.