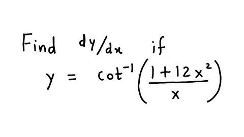
Derivatives - Differentiation - Solved Example - NCERT , CBSE , ISC, HSC and other boards

Tonton & Download Video Musik Gratis

⬇ DOWNLOAD NOW
Kalau muncul iklan pop-up, tutup lalu klik tombol kembali

Download lagu Derivatives - Differentiation - Solved Example - NCERT , CBSE , ISC, HSC and other boards secara gratis hanya untuk keperluan promosi. Dukung artis favorit kamu dengan membeli musik original di iTunes atau platform resmi lainnya.