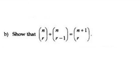
Binomial Coefficient Properties SE1: Simplify nCr-1+2nCr+nCr+1?

Tonton & Download Video Musik Gratis

⬇ DOWNLOAD NOW
Kalau muncul iklan pop-up, tutup lalu klik tombol kembali

Download lagu Binomial Coefficient Properties SE1: Simplify nCr-1+2nCr+nCr+1? secara gratis hanya untuk keperluan promosi. Dukung artis favorit kamu dengan membeli musik original di iTunes atau platform resmi lainnya.