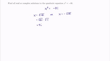
MTH 65 (§7.3, v8) Solving a Quadratic Equation with Complex Solutions

Tonton & Download Video Musik Gratis

⬇ DOWNLOAD NOW
Kalau muncul iklan pop-up, tutup lalu klik tombol kembali

Download lagu MTH 65 (§7.3, v8) Solving a Quadratic Equation with Complex Solutions secara gratis hanya untuk keperluan promosi. Dukung artis favorit kamu dengan membeli musik original di iTunes atau platform resmi lainnya.