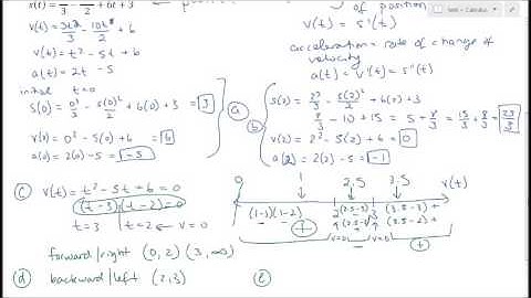
Calculus I: Rectilinear motion, velocity, acceleration, speeding up (example 1/5)

Tonton & Download Video Musik Gratis

⬇ DOWNLOAD NOW
Kalau muncul iklan pop-up, tutup lalu klik tombol kembali

Download lagu Calculus I: Rectilinear motion, velocity, acceleration, speeding up (example 1/5) secara gratis hanya untuk keperluan promosi. Dukung artis favorit kamu dengan membeli musik original di iTunes atau platform resmi lainnya.