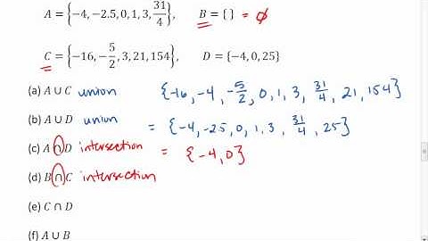
Math 1127 Chap 8.2a Union, Intersection, Complement; Probability and Odds

Tonton & Download Video Musik Gratis

⬇ DOWNLOAD NOW
Kalau muncul iklan pop-up, tutup lalu klik tombol kembali

Download lagu Math 1127 Chap 8.2a Union, Intersection, Complement; Probability and Odds secara gratis hanya untuk keperluan promosi. Dukung artis favorit kamu dengan membeli musik original di iTunes atau platform resmi lainnya.