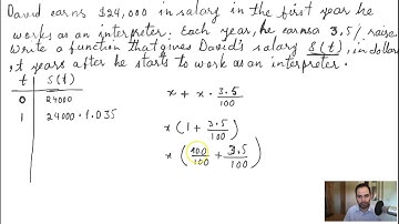
P2 - Alg2 Unit 8 - Exponential Function Word Problem

Tonton & Download Video Musik Gratis

⬇ DOWNLOAD NOW
Kalau muncul iklan pop-up, tutup lalu klik tombol kembali

Download lagu P2 - Alg2 Unit 8 - Exponential Function Word Problem secara gratis hanya untuk keperluan promosi. Dukung artis favorit kamu dengan membeli musik original di iTunes atau platform resmi lainnya.