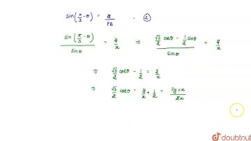
\( A \) point \( P \) is inside an equilateral triangle. If the distances of \( P \) from the si...

Tonton & Download Video Musik Gratis

⬇ DOWNLOAD NOW
Kalau muncul iklan pop-up, tutup lalu klik tombol kembali

Download lagu \( A \) point \( P \) is inside an equilateral triangle. If the distances of \( P \) from the si... secara gratis hanya untuk keperluan promosi. Dukung artis favorit kamu dengan membeli musik original di iTunes atau platform resmi lainnya.