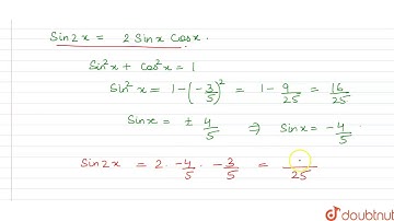
If `cos theta= -1/2` and `pi lt theta lt (3pi)/2` then find the value of `4tan^2 theta- 3cos

Tonton & Download Video Musik Gratis

⬇ DOWNLOAD NOW
Kalau muncul iklan pop-up, tutup lalu klik tombol kembali

Download lagu If `cos theta= -1/2` and `pi lt theta lt (3pi)/2` then find the value of `4tan^2 theta- 3cos secara gratis hanya untuk keperluan promosi. Dukung artis favorit kamu dengan membeli musik original di iTunes atau platform resmi lainnya.