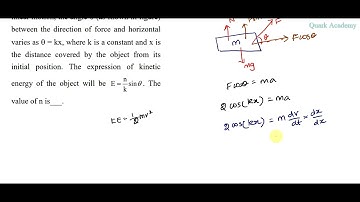
JEE Main 2023 solution in English | An object of mass 'm' initially at rest on a smooth horizontal

Tonton & Download Video Musik Gratis

⬇ DOWNLOAD NOW
Kalau muncul iklan pop-up, tutup lalu klik tombol kembali

Download lagu JEE Main 2023 solution in English | An object of mass 'm' initially at rest on a smooth horizontal secara gratis hanya untuk keperluan promosi. Dukung artis favorit kamu dengan membeli musik original di iTunes atau platform resmi lainnya.