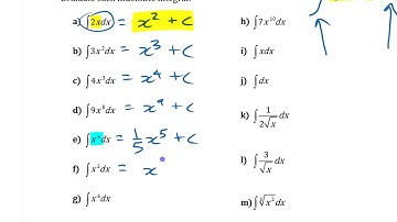
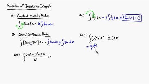
Properties of Indefinite Integrals (cont'd) • [7.1e-2] AP CALCULUS

Tonton & Download Video Musik Gratis

⬇ DOWNLOAD NOW
Kalau muncul iklan pop-up, tutup lalu klik tombol kembali

Download lagu Properties of Indefinite Integrals (cont'd) • [7.1e-2] AP CALCULUS secara gratis hanya untuk keperluan promosi. Dukung artis favorit kamu dengan membeli musik original di iTunes atau platform resmi lainnya.