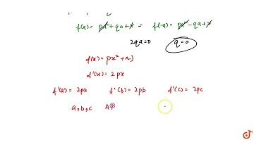
Let` fx)` be a polynomial function of second degree. If `f(1)= f(-1)` and a, b,c are in A.P, th...

Tonton & Download Video Musik Gratis

⬇ DOWNLOAD NOW
Kalau muncul iklan pop-up, tutup lalu klik tombol kembali

Download lagu Let` fx)` be a polynomial function of second degree. If `f(1)= f(-1)` and a, b,c are in A.P, th... secara gratis hanya untuk keperluan promosi. Dukung artis favorit kamu dengan membeli musik original di iTunes atau platform resmi lainnya.