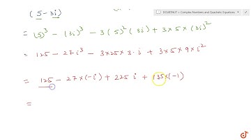
Express (5-3i)³ in the form a+ib | Example 3| Complex Number | Class 11

Tonton & Download Video Musik Gratis

⬇ DOWNLOAD NOW
Kalau muncul iklan pop-up, tutup lalu klik tombol kembali

Download lagu Express (5-3i)³ in the form a+ib | Example 3| Complex Number | Class 11 secara gratis hanya untuk keperluan promosi. Dukung artis favorit kamu dengan membeli musik original di iTunes atau platform resmi lainnya.