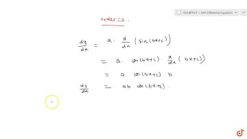
Forming differential equation for the family of curve y =aSinbx+c, where a and c are parameters

Tonton & Download Video Musik Gratis

⬇ DOWNLOAD NOW
Kalau muncul iklan pop-up, tutup lalu klik tombol kembali

Download lagu Forming differential equation for the family of curve y =aSinbx+c, where a and c are parameters secara gratis hanya untuk keperluan promosi. Dukung artis favorit kamu dengan membeli musik original di iTunes atau platform resmi lainnya.