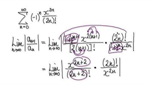
Power Series x^n/n! Interval of Convergence, R=inf, calculus 2 tutorial

Tonton & Download Video Musik Gratis

⬇ DOWNLOAD NOW
Kalau muncul iklan pop-up, tutup lalu klik tombol kembali

Download lagu Power Series x^n/n! Interval of Convergence, R=inf, calculus 2 tutorial secara gratis hanya untuk keperluan promosi. Dukung artis favorit kamu dengan membeli musik original di iTunes atau platform resmi lainnya.