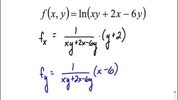
Partial Derivative of f(x,y)=ln(xy) w.r.t. x and y || Partial Differentiation

Tonton & Download Video Musik Gratis

⬇ DOWNLOAD NOW
Kalau muncul iklan pop-up, tutup lalu klik tombol kembali

Download lagu Partial Derivative of f(x,y)=ln(xy) w.r.t. x and y || Partial Differentiation secara gratis hanya untuk keperluan promosi. Dukung artis favorit kamu dengan membeli musik original di iTunes atau platform resmi lainnya.