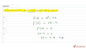
If the function š’‡ š’™ šŸ š’™ šŸš’™ š’™ šŸŽ attains the maximum value at š’™ 1 š‘’ then ....

Tonton & Download Video Musik Gratis

⬇ DOWNLOAD NOW
Kalau muncul iklan pop-up, tutup lalu klik tombol kembali

Download lagu If the function š’‡ š’™ šŸ š’™ šŸš’™ š’™ šŸŽ attains the maximum value at š’™ 1 š‘’ then .... secara gratis hanya untuk keperluan promosi. Dukung artis favorit kamu dengan membeli musik original di iTunes atau platform resmi lainnya.