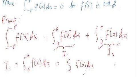
If f is an odd function, why is ∫_-a^a f(x) d x=0 ?

Tonton & Download Video Musik Gratis

⬇ DOWNLOAD NOW
Kalau muncul iklan pop-up, tutup lalu klik tombol kembali

Download lagu If f is an odd function, why is ∫_-a^a f(x) d x=0 ? secara gratis hanya untuk keperluan promosi. Dukung artis favorit kamu dengan membeli musik original di iTunes atau platform resmi lainnya.