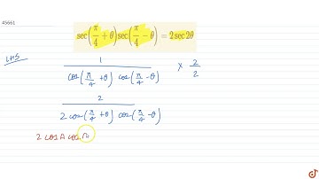
Using compound angle find the sec⁡(π/4+θ).sec⁡(π/4-θ)=2sec2θ (PART-3)

Tonton & Download Video Musik Gratis

⬇ DOWNLOAD NOW
Kalau muncul iklan pop-up, tutup lalu klik tombol kembali

Download lagu Using compound angle find the sec⁡(π/4+θ).sec⁡(π/4-θ)=2sec2θ (PART-3) secara gratis hanya untuk keperluan promosi. Dukung artis favorit kamu dengan membeli musik original di iTunes atau platform resmi lainnya.