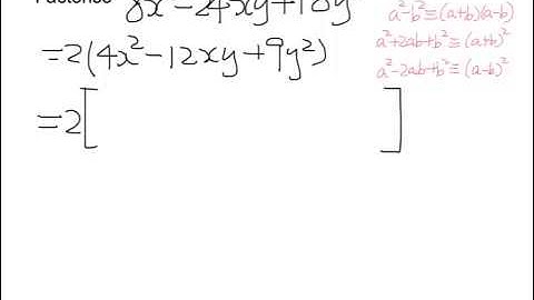
HKDSE 2013 Maths Core Paper 2 Q03: Factorization 因式分解

Tonton & Download Video Musik Gratis

⬇ DOWNLOAD NOW
Kalau muncul iklan pop-up, tutup lalu klik tombol kembali

Download lagu HKDSE 2013 Maths Core Paper 2 Q03: Factorization 因式分解 secara gratis hanya untuk keperluan promosi. Dukung artis favorit kamu dengan membeli musik original di iTunes atau platform resmi lainnya.