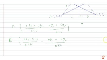
Find the coordinates of the centreof the circle inscribed in the triangle whose vertices are `

Tonton & Download Video Musik Gratis

⬇ DOWNLOAD NOW
Kalau muncul iklan pop-up, tutup lalu klik tombol kembali

Download lagu Find the coordinates of the centreof the circle inscribed in the triangle whose vertices are ` secara gratis hanya untuk keperluan promosi. Dukung artis favorit kamu dengan membeli musik original di iTunes atau platform resmi lainnya.